LEDs mit Vorwiderstand
Wir betrachten hier einen Fall, der die Problematik des Betriebs von LEDs drastisch darstellt.
Wir wollen eine weiße LED an einem LiPo-Akku mit maximaler Helligkeit, d. h. mit maximal möglichem Strom betreiben.
- Anschließend gehen wir darauf ein, wie man LEDs normalerweise betreibt: LED an einem 5 V-Netzgerät
Widerstandsgerade
- Wir arbeiten hier mit Kennlinien.
Für die Bestimmung des Stroms in einer Diode mit Vorwiderstand verwenden wir die Methode aus Arbeiten mit Kennlinien.
Wir gehen von der Kennlinie der LED aus. Das Feld muss bei 0 V beginnen und mindestens bis zur Versorgungsspannung Uv gehen. Bei 0 V tragen wir den Strom I=Uv/R für den Vorwiderstand R ein. Wir ziehen eine Linie von (0 V,I) bis zu (Uv,0). Der Strom durch die LED ist der Wert, bei dem die Linie die Kennlinie der LED schneidet.

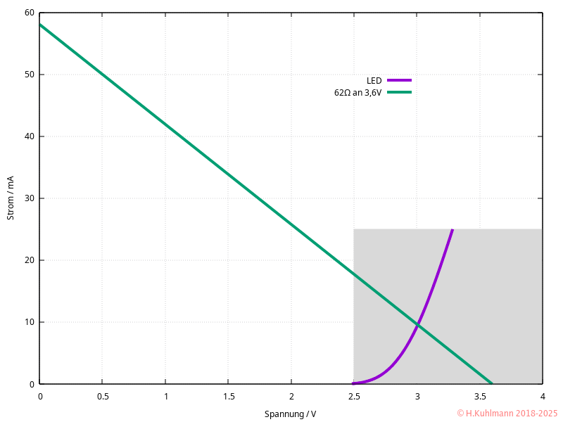
Zoom-Bild für Uv=3,6 V R=62 Ω und I=58 mA.
Der interessante Bereich ist grau hinterlegt.
In Bild 1 betrachten wir, wie eine LED an einem LiPo-Akku betrieben werden kann.
Ein LiPo-Akku hat,
- wenn er voll geladen ist, eine Spannung von 4,2 V,
- wenn er entladen ist, eine Spannung von 3,0 V und
- im Durchschnitt eine Spannung von 3,6 V.
- Wir müssen also sicherstellen, dass die LED im Bereich von 3,0 V bis 4,2 V mit höchstens 20 mA belastet wird.
- Wir möchten, dass sich der Strom durch die LED über die Spannung von 3,0 V bis 4,2 V möglichst wenig ändert.
- Maximal sollte der Strom um 100 % abweichen.
Die Flussspannung einer LED kann aufgrund von Fertigungstoleranzen erheblich vom mittleren Wert abweichen. Wir betrachten hier eine LED, deren Flussspannung bei 20 mA
- im Mittel 3,2 V – violett
- minimal (untere Grenze) 2,8 V – blau und
- maximal (obere Grenze) 3,7 V – grün beträgt.
LED mit Vorwiderstand an 3,6 V
Wir betreiben die LED mit einem Vorwiderstand von 62 Ω an 3,6 V. Wir betrachten die gelbe Linie für 62 Ω an 3,6 V.
- Im Mittel stellt sich ein Strom von 9,5 mA ein. Die violette Kennlinie kreuzt die gelbe 3,6 V-Linie bei 9,5 mA.
- Bei einer LED mit minimaler Flussspannung sind es 14 mA. Die blaue Kennlinie kreuzt die gelbe 3,6 V-Linie bei 14 mA.
- Bei einer LED mit maximaler Flussspannung sind es 5 mA. Die grüne Kennlinie kreuzt die gelbe 3,6 V-Linie bei 5 mA.
Die LED wird also zwischen 5 mA und 14 mA betrieben. Das ist erheblich weniger als ohne Vorwiderstand. Die LED wird nie überlastet.
LED mit Vorwiderstand an 3 V
Wir betreiben die LED mit einem Vorwiderstand von 62 Ω an 3 V. Wir betrachten die dunkelblaue Linie für 62 Ω an 3 V.
- Im Mittel stellt sich ein Strom von 3,1 mA ein. Die violette Kennlinie kreuzt die dunkelblaue 3 V-Linie bei 3,1 mA.
- Bei einer LED mit minimaler Flussspannung sind es 6,5 mA. Die blaue Kennlinie kreuzt die dunkelblaue 3 V-Linie bei 6,5 mA.
- Bei einer LED mit maximaler Flussspannung sind es 0,5 mA. Die grüne Kennlinie kreuzt die dunkelblaue 3 V-Linie bei 0,5 mA.
Die LED wird also zwischen 0,5 mA und 6,5 mA betrieben. Das ist erheblich weniger als ohne Vorwiderstand. Die LED wird nie überlastet.
LED mit Vorwiderstand an 4,2 V
Wir betreiben die LED mit einem Vorwiderstand von 62 Ω an 4,2 V. Wir betrachten die orange Linie für 62 Ω an 4,2 V.
- Im Mittel stellt sich ein Strom von 17 mA ein. Die violette Kennlinie kreuzt die orange 4,2 V-Linie bei 17 mA.
- Bei einer LED mit minimaler Flussspannung sind es 21,5 mA. Die blaue Kennlinie kreuzt die orange 4,2 V-Linie bei 21,5 mA.
- Bei einer LED mit maximaler Flussspannung sind es 11,5 mA. Die grüne Kennlinie kreuzt die orange 4,2 V-Linie bei 11,5 mA.
Die LED wird also zwischen 11,5 mA und 21,5 mA betrieben. Eine LED mit minimaler Flussspannung könnte geringfügig überlastet werden.
LED mit Vorwiderstand an 3 V bis 4,2 V
- Im ungünstigsten Fall (3 V und maximale Flussspannung) fließen nur 0,5 mA durch die LED.
- Im Mittel (3,6 V und mittlere Flussspannung) fließen nicht ganz 10 mA durch die LED. Die violette Kennlinie kreuzt die gelbe 3,6 V-Linie knapp unter 10 mA.
- Der höchste Strom von über 21 mA fließt in der LED, wenn 4,2 V anliegen und die LED die minimale Flussspannung hat.
Der Strom kann damit zwischen 0,5 mA und 21 mA liegen.
- Das sind Abweichungen, die in der Regel nicht akzeptiert werden.
LED an Konstantstromquelle
Wird eine LED mit Konstantstrom betrieben, stellt sich die zu dem Strom gehörende Flussspannung ein.
In Bild 1 ist ein Konstantstrom von 10 mA rot eingetragen.
- Die Spannung an der LED liegt im Mittel bei 3 V,
- minimal bei 2,8 V und maximal bei 3,45 V.
Die Flussspannung kann also erheblich vom Mittelwert abweichen.
- Der Strom ist aber in allen Fällen gleich.
- Eine LED mit Konstantstrom ist die beste Lösung.
Lösungsmöglichkeiten
Es gibt z. B. folgende Lösungen:
- Die Betriebsspannung wird stabilisiert.
- Es wird mit geregelten Netzgeräten gearbeitet.
- An einem LiPo-Akku ist das nicht möglich.
- Es wird ohne Vorwiderstand, aber mit einer Elektronik gearbeitet, die einen Konstantstrom liefert.
LED an 5 V-Netzgerät
Hier betrachten wir ein Beispiel, das aufzeigt, wie eine LED an einem geregelten Netzgerät betrieben werden kann.
Wir wollen eine weiße LED mit einem Vorwiderstand an einem geregelten Netzgerät mit 5 V betreiben.
Wir wollen übliche Netzgeräte verwenden. Dann müssen wir davon ausgehen, dass ein Netzgerät eine Spannung zwischen 4,65 V bis 5,35 V liefert.
In Bild 2 sind neben den Kennlinien einer weißen LED die Linien für einen 100 Ω Widerstand an 5 V, 4,65 V und 5,35 V eingetragen.
LED mit Vorwiderstand an 5 V
Wir betreiben die LED mit einem Vorwiderstand von 120 Ω an 5 V. Wir betrachten die rote Linie für 120 Ω an 5 V.
- Im Mittel stellt sich ein Strom von 15 mA ein. Die violette Kennlinie kreuzt die rote 5 V-Linie bei 15 mA.
- Bei einer LED mit minimaler Flussspannung sind es 18 mA. Die blaue Kennlinie kreuzt die rote 5 V-Linie bei 18 mA.
- Bei einer LED mit maximaler Flussspannung sind es 12 mA. Die grüne Kennlinie kreuzt die rote 5 V-Linie bei 12 mA.
Die LED wird also zwischen 12 mA und 18 mA betrieben. Die LED wird nie überlastet.
LED mit Vorwiderstand an 4,65 V
Wir betreiben die LED mit einem Vorwiderstand von 120 Ω an 4,65 V. Wir betrachten die orange Linie für 120 Ω an 4,65 V.
- Im Mittel stellt sich ein Strom von 13 mA ein. Die violette Kennlinie kreuzt die orange 4,65 V-Linie bei 13 mA.
- Bei einer LED mit minimaler Flussspannung sind es 16 mA. Die blaue Kennlinie kreuzt die orange 4,65 V-Linie bei 16 mA.
- Bei einer LED mit maximaler Flussspannung sind es 10 mA. Die grüne Kennlinie kreuzt die orange 4,65 V-Linie bei 10 mA.
Die LED wird also zwischen 10 mA und 16 mA betrieben. Die LED wird nie überlastet.
LED mit Vorwiderstand an 5,35 V
Wir betreiben die LED mit einem Vorwiderstand von 120 Ω an 5,35 V. Wir betrachten die gelbe Linie für 120 Ω an 5,35 V.
- Im Mittel stellt sich ein Strom von 18 mA ein. Die violette Kennlinie kreuzt die gelbe 5,35 V-Linie bei 18 mA.
- Bei einer LED mit minimaler Flussspannung sind es 21 mA. Die blaue Kennlinie kreuzt die gelbe 5,35 V-Linie bei 21 mA.
- Bei einer LED mit maximaler Flussspannung sind es 15 mA. Die grüne Kennlinie kreuzt die gelbe 5,35 V-Linie bei 15 mA.
Die LED wird also zwischen 15 mA und 21 mA betrieben. Nur eine LED mit minimaler Flussspannung wird geringfügig überlastet.
LED an Netzgerät mit 4,65 V bis 5,35 V
Wird eine weiße LED an einem Netzgerät für 5 V, das zwischen 4,65 V bis 5,35 V liefert, betrieben,
- liegt der Strom in der LED zwischen 10 mA und 21 mA.
- Der Strom in der LED schwankt wesentlich weniger als beim Betrieb an einem LiPo-Akku.
- Die LED wird meistens nicht überlastet.
Mehrere LEDs
Für Beleuchtungszwecke ist es üblich, mehrere LEDs gemeinsam zu betreiben. Es gibt mehrere Möglichkeiten:
- LEDs in Reihe schalten.
- Dies ist der beste Fall, weil nur ein Vorwiderstand oder eine Konstantstromquelle benötigt wird.
- Es muss lediglich eine höhere Betriebsspannung vorgesehen werden.
- Den Vorwiderstand kann man einfach mit dem Tool LED berechnen.
- LEDs parallel schalten:
- Für jede LED sollte ein Vorwiderstand vorgesehen werden.
- Nur in Ausnahmefällen können LEDs ohne Vorwiderstand parallel geschaltet werden. Siehe LEDs ohne Vorwiderstand
- Das gilt auch, wenn die LEDs gemeinsam an einer Konstantstromquelle betrieben werden. Siehe Stränge paralleler LEDs
- LEDs in Reihe und parallel schalten.
- Dies ist sinnvoll, wenn viele LEDs benötigt werden.
- Es werden mehrere Stränge mit gleicher Anzahl von LEDs in Reihe mit jeweils einem Vorwiderstand gebildet. Diese Stränge werden dann parallel geschaltet.
Farbige LEDs
Wir haben oben nur weiße LEDs betrachtet.
Weiße LEDs werden meist für Beleuchtungszwecke verwendet. Da sind relativ hohe Ströme üblich, damit sie hell leuchten.
- Für farbige LEDs gelten die obigen Aussagen sinngemäß. Sie müssen aber für die spezifischen Flussspannungen angepasst werden. Das Tool LED hilft dabei.
- LEDs für Anzeigezwecke sind meist einfacher zu betreiben.