../../icons/Logo.pngPraktische Elektronik


Wir betrachten die Problematik des Betriebs von LEDs ohne Vorwiderstand.


list.png

LEDs ohne Vorwiderstand

Wir untersuchen die Problematik des Betriebs von LEDs ohne Vorwiderstand sowie den Betrieb parallel geschalteter LEDs.

Attention >

Kennlinien

Mehr dazu in

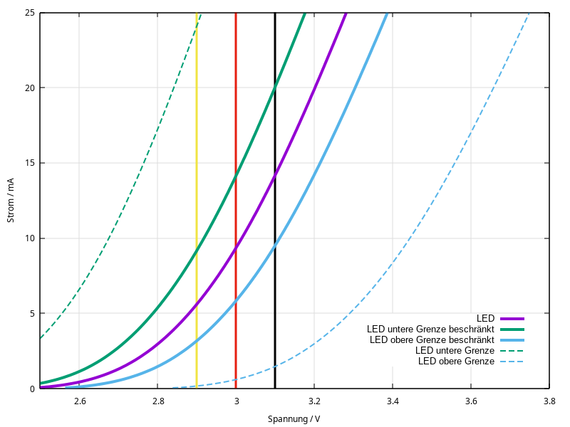
LED-3V-Kennlinie.png
Bild 1: Kennlinien weißer LEDs ohne Vorwiderstand

In Bild 1 sehen wir, wie eine LED mit einer Betriebsspannung von 3 V betrieben werden kann. Aufgrund von Fertigungstoleranzen kann die Flussspannung einer LED erheblich vom mittleren Wert abweichen.

Wir betrachten hier weiße LEDs, deren Flussspannung bei 20 mA

  • typisch bei 3,2 V (violette Kennlinie),
  • minimal (untere Grenze) bei 2,85 V (grüne Kennlinie) und
  • maximal (obere Grenze) bei 3,65 V (blaue Kennlinie) beträgt.
  • Die horizontale orange Linie markiert die 20 mA.

LEDs ohne Vorwiderstand an 3 V

  • Die vertikalen Linien markieren Spannungen:
  • die gelbe 2,9 V,
  • die rote 3,0 V und
  • die schwarze 3,1 V.

Betrachten wir zunächst, wie sich die LEDs verhalten, wenn sie ohne Vorwiderstand an 3 V betrieben werden.

  • Bei einer typischen Flussspannung stellt sich ein Strom von 9,5 mA ein. Die violette Kennlinie kreuzt die vertikale rote 3 V-Linie bei 9,5 mA.
  • Bei LEDs mit minimaler Flussspannung sind es weit über 25 mA. Die rote Kennlinie wird nicht unter 25 mA gekreuzt.
  • Bei LEDs mit maximaler Flussspannung sind es 0,1 mA. Die grüne Kennlinie kreuzt die 3 V-Linie bei 0,1 mA.

Wir müssen davon ausgehen, dass die LEDs bei 3 V mit einem Strom zwischen 0,1 mA und weit über 25 mA betrieben werden. In den meisten Fällen sind es 9,5 mA. Bei 0,1 mA werden sie merklich dunkler sein. Bei 25 mA werden sie oberhalb des zulässigen Stroms von 20 mA betrieben.

LEDs ohne Vorwiderstand an 3 V parallel betreiben

Für die einzelnen LEDs ändert sich nichts.

  • Die meisten LEDs werden mit 9,5 mA betrieben.
  • Wenige – eventuell keine – werden mit 0,1 mA betrieben.
  • Wenige – eventuell keine – werden mit über 25 mA betrieben.
  • Problematisch sind die LEDs mit über 25 mA, die überlastet werden können.
  • Je mehr LEDs parallel betrieben werden, umso höher ist die Wahrscheinlichkeit, dass eine LED mit sehr geringer Flussspannung dabei ist.

LEDs ohne Vorwiderstand an 3 V mit Toleranz

Wir gehen nun davon aus, dass die Spannungsquelle zwischen 2,9 V und 3,1 V liefert, im Mittel 3 V.

  • Wenn die Spannung bei 2,9 V liegt, müssen wir die gelbe Linie betrachten.
  • Bei der typischen Flussspannung stellt sich ein Strom von 5,5 mA ein. Die violette Kennlinie kreuzt die vertikale gelbe 2,9 V-Linie bei 5,5 mA.
  • Bei LEDs mit minimaler Flussspannung sind es 23 mA. Die grüne Kennlinie kreuzt die 2,9 V-Linie bei 23 mA.
  • Bei LEDs mit maximaler Flussspannung sind es unter 0,1 mA.
  • Wenn die Spannung bei 3,1 V liegt, müssen wir die schwarze Linie betrachten.
  • Bei der typischen Flussspannung stellt sich ein Strom von 14,3 mA ein. Die violette Kennlinie kreuzt die vertikale schwarze 3,1 V-Linie bei 14,3 mA.
  • Bei LEDs mit minimaler Flussspannung sind es weit über 25 mA. Die grüne Kennlinie kreuzt die 3,1 V-Linie oberhalb des dargestellten Bereichs von 25 mA.
  • Bei LEDs mit maximaler Flussspannung sind es 0,6 mA. Die blaue Kennlinie kreuzt die 3,1 V-Linie bei 0,6 mA.

Bei einer Spannung zwischen 2,9 V und 3,1 V kann der Strom durch die LED

  • zwischen 0,1 mA und weit über 25 mA liegen.
  • Bei Strömen über 20 mA wird die LED überlastet.
  • Bei 0,1 mA ist die LED ziemlich dunkel.

LEDs mit begrenzter Flussspannung ohne Vorwiderstand an 3 V

Das Problem ist der relativ große Bereich, in dem die Flussspannung der LEDs liegen kann.

Wenn wir allerdings LEDs einsetzen, deren Flussspannung für einen engen Bereich garantiert wird, ergibt sich ein besseres Bild:

LED-3V-Kennlinie-beschr.png
Bild 2: Kennlinien weißer LEDs mit beschränkter Flussspannung ohne Vorwiderstand

In Bild 2 sind die Kennlinien von LEDs, die eine typische Flussspannung von 3,2 V bei 20 mA haben. Sie sind aber selektiert, so dass die Flussspannung nie unter 3,1 V oder über 3,3 V liegt.

  • Bei einer Versorgungsspannung von 3,1 V ist der Strom dann maximal 20 mA und minimal 10 mA.
  • Bei 2,9 V liegt der Strom zwischen 3 mA und 9 mA.
  • Die LEDs werden also nie überlastet.
  • Bei 2,9 V sind sie merklich dunkler.

Fazit

  • Im Mittel kann man davon ausgehen, dass durch die LEDs 10 mA fließen.
  • Es kann wenige LEDs geben, die mit weit über 25 mA überlastet werden und
  • wenige LEDs, durch die nur ein geringer Strom fließt.
  • LEDs mit minimaler Flussspannung werden bei 3,0 V überlastet.
  • Bei einer Betriebsspannung von 3,1 V werden sie mit einem Strom weit über dem maximal zulässigen Wert von 20 mA betrieben.
  • Werden LEDs mit selektierter Flussspannung eingesetzt,
  • kann eine Überlastung der LEDs vermieden werden.
  • Die minimale Flussspannung der selektierten LEDs darf bei 20 mA die maximale Betriebsspannung (z. B. 3,1 V) nicht unterschreiten.

LEDs parallel an 3 V betreiben

Werden LEDs parallel an einer Spannungsquelle betrieben, treffen die obigen Aussagen auch zu:

  • Im Mittel kann man davon ausgehen, dass durch die LEDs 10 mA fließen.
  • Es kann wenige LEDs geben, die mit über 25 mA überlastet werden und
  • wenige LEDs, durch die nur ein geringer Strom fließt.
  • Durch die LED mit der geringsten Flussspannung fließt der höchste Strom
  • Sie wird heiß. Dadurch sinkt ihre Flussspannung und sie nimmt noch mehr Strom auf.
  • LEDs mit geringer Flussspannung werden überlastet und
  • relativ schnell beschädigt oder fallen aus.
  • Wenn die Betriebsspannung höher als 3 V ist,
  • können LEDs beschädigt werden oder ausfallen.
  • Das hat in der Regel zur Folge, dass weitere LEDs ausfallen.
  • Wenn die Betriebsspannung unter 3 V ist, werden die LEDs nicht optimal (dunkler) leuchten.
  • Am besten werden LEDs mit garantierter minimaler Flussspannung verwendet.
  • Die Versorgungsspannung sollte möglichst genau 3 V betragen.
Attention pin

Lösung

  • Es sollten LEDs mit geringer Toleranz der Flussspannung eingesetzt werden.
  • Am besten LEDs mit garantierter minimaler Flussspannung.
  • Die Versorgungsspannung sollte möglichst genau 3 V betragen.
  • Die garantierte minimale Flussspannung muss unter der maximalen Versorgungsspannung liegen.

Farbige LEDs

Wir haben oben nur weiße LEDs betrachtet.

Weiße LEDs werden meist für Beleuchtungszwecke verwendet. Dabei sind relativ hohe Ströme üblich, damit sie hell leuchten.

  • Für farbige LEDs gelten die obigen Aussagen sinngemäß. Sie müssen jedoch für die spezifischen Flussspannungen angepasst werden.