../../icons/Logo.pngPraktische Elektronik


Wir vergleichen LEDs mit Glühlampen.


list.png

LEDs und Glühlampen

Die offensichtlichen Unterschiede

LedUndGluehlampe.png
Bild 1: Schaltung von LED und Glühlampe

Die Schaltung in Bild 1 verdeutlicht den Unterschied zwischen LED und Glühlampe.

  • Die LED leuchtet nur dann, wenn die LED wie dargestellt an die Stromversorgung angeschlossen wird:
  • Wird sie anders herum angeschlossen, leuchtet die LED nicht.
  • Eine Glühlampe leuchtet genauso, wenn sie anders herum angeschlossen wird.
  • Das ist die Gleichrichter- oder Diodenfunktion der LED.
  • Eine LED muss über einen Vorwiderstand angeschlossen werden.
  • Eine Glühlampe braucht keinen Vorwiderstand.

Glühlampen

Glühlampen gibt es für fast alle Spannungen zwischen 1 V und über 230 V.

Bei Glühlampen kann man die Helligkeit durch die angelegte Spannung steuern:

  • Eine höhere Spannung bewirkt einen höheren Strom und somit eine höhere Leistung. Dies führt zu einer höheren Helligkeit.
  • Über den Daumen gepeilt kann man sagen, dass eine um 10 % höhere Spannung zu einem um 10 % höheren Strom führt. Das führt zu einer um 20 % höheren Helligkeit.
  • Wird eine Glühlampe oberhalb der maximal zulässigen Spannung betrieben, kann sie zerstört werden.

Vergleich von Glühlampen und LEDs

Attention >

Kennlinien

Mehr dazu in

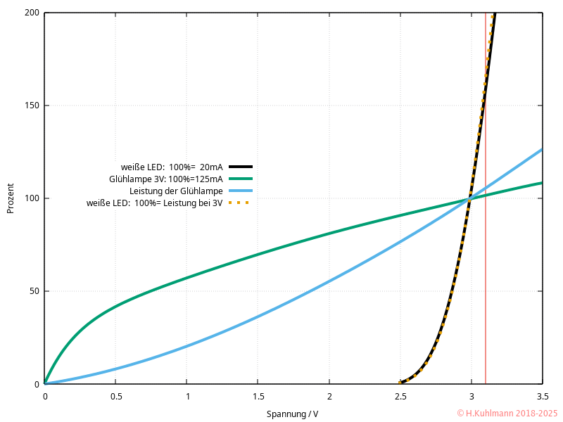
VergleichLampeLED.png
Bild 2: Vergleich einer Glühlampe und einer LED

In Bild 2 werden eine weiße LED und eine Glühlampe verglichen.

Auf der horizontalen Achse ist die an der Glühlampe bzw. der LED liegende Spannung aufgetragen.

Auf der vertikalen Achse ist der Strom durch die Glühlampe bzw. die LED aufgetragen. Es sind keine absoluten Werte dargestellt, sondern wie der Strom mit der Spannung ansteigt. 100 % ist der Strom (violett) in der Glühlampe bei 3 V bzw. der Strom (schwarz) in der LED bei 5 V. In der Glühlampe fließen bei 3 V 125 mA und in der LED fließen bei 3 V 10 mA.

Außerdem wurde die Leistung (grün) in der Glühlampe dargestellt. Sie ist bei 3 V 100 %. Die Helligkeit der Glühlampe entspricht fast vollständig der Leistung.

Der Verlauf der Leistung in der LED stimmt fast genau mit deren Strom überein. Die Leistung in der LED ist durch blaue Punkte dargestellt.

Die Helligkeit der LED entspricht dem Strom, also der schwarzen Kurve.

Grundsätzlich können wir sehen, dass die Glühlampe schon bei einer geringen Spannung von 0,5 V zu leuchten beginnt. Bei 2,5 V hat sie schon fast die volle Helligkeit (90 %).

Die LED leuchtet unter 2,5 V nicht, hat aber bei 3 V schon 100 % der Helligkeit.

Wir betrachten jetzt, was passiert, wenn wir die Spannung ein wenig erhöhen, von 3 V auf 3,1 V. Das sind nur 3,3 %. Die 3,1 V sind durch die dünne rote Linie dargestellt.

  • Der Strom durch die Glühlampe steigt damit um 2,5 %.
  • Die Helligkeit der Glühlampe erhöht sich dann um etwa 6 %.
  • Der Strom durch die LED erhöht sich um 60 %.

Leider verhalten sich LEDs nicht wie Glühlampen.

  • Eine um 3 % höhere Spannung an einer LED bewirkt meistens einen um 60 % höheren Strom.
  • Die Helligkeit der LED verdoppelt sich.
  • Eine kleine Änderung der Betriebsspannung kann bewirken, dass eine LED überlastet wird.
  • Aber die Spannung an LEDs gleicher Farbe und Bauart kann um über 10 % voneinander abweichen.
  • Dadurch kann der Strom um über 100 % abweichen und die LED überlastet werden.
  • Sowohl die gestrichelte rote Linie als auch die gestrichelte orange Kennlinie können bei weißen LEDs vorkommen. Sie beschreiben den Bereich, in dem die meisten Kennlinien liegen. Die schwarze Kennlinie ist die im Mittel vorkommende.

Fazit

  • Glühlampen sind robuster als LEDs:
  • Sie tolerieren Schwankungen der Versorgungsspannung.
  • LEDs sind sehr empfindlich bezüglich Schwankungen der Versorgungsspannung:
  • Schon eine geringe Änderung der Versorgungsspannung kann eine hohe Änderung des Stroms und der Leistung bewirken.
  • Wir müssen dafür sorgen, dass der Strom durch LEDs möglichst immer gleich bleibt,
  • unabhängig von der Stromversorgung, also der Betriebsspannung,
  • und der Arbeitsspannung der LED.

Dafür werden LEDs an einer speziellen Elektronik oder mit einem Vorwiderstand betrieben.

  • Der Vorwiderstand bewirkt Verluste.