LEDs für Anzeigezwecke
Wir untersuchen, wie eine LED für Anzeigezwecke an einem geregelten Netzteil von 5 V betrieben werden kann.
Das geregelte Netzteil ist ein gutes Beispiel für eine stabile Spannungsquelle. Aber auch hier müssen wir von Toleranzen ausgehen. Unser Netzteil soll zwischen 4,65 V und 5,35 V liefern.
Für Anzeigezwecke benötigen wir nur einen geringen Strom von 1 mA.
Oft werden auch rote anstelle von weißen LEDs verwendet.
Widerstandsgerade
Für die Bestimmung des Stroms in einer Diode mit Vorwiderstand verwenden wir die Methode aus Arbeiten mit Kennlinien.
Wir gehen von der Kennlinie der LED aus. Das Feld muss bei 0 V beginnen und mindestens bis zur Versorgungsspannung Uv gehen. Bei 0 V tragen wir den Strom I=Uv/R für den Vorwiderstand R ein. Wir ziehen eine Linie von (0 V,I) bis zu (Uv,0). Der Strom durch die LED ist der Wert, bei dem die Linie die Kennlinie der LED schneidet.

Zoom-Bild für Uv=3,6 V R=62 Ω und I=58 mA.
Der interessante Bereich ist grau hinterlegt.
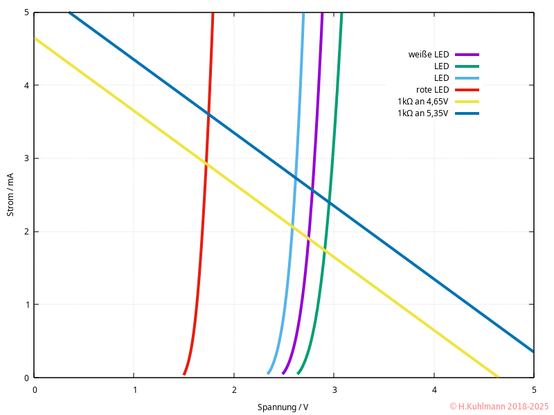
In Bild 1 werden die Kennlinien einer weißen (violett) und einer roten LED sowohl ohne Vorwiderstand als auch mit einem Vorwiderstand von 1 kΩ dargestellt.
Für die weiße LED werden außer der mittleren Kennlinie (violett) auch der Bereich der Abweichungen dargestellt (blau und grün).
Die Betriebsspannung liegt zwischen 4,65 V (vertikale dünne rote Linie) und 5,35 V (vertikale dünne schwarze Linie).
Bei der weißen LED haben wir minimal 1,75 mA (grüne gestrichelte Kennlinie kreuzt dünne rote Linie).
Maximal haben wir 2,75 mA (blaue gestrichelte Kennlinie kreuzt dünne schwarze Linie).
- Die Abweichung des Stroms liegt unter 60 %. Diese Abweichung werden wir kaum wahrnehmen.
Bei der roten LED liegt der Strom zwischen 3 mA und 3,6 mA.
Fazit
Bei LEDs für Anzeigezwecke, d. h. bei kleinen Strömen um 1 mA, ist eine Abweichung der Flussspannung der LEDs und der Versorgungsspannung vernachlässigbar, wenn die Versorgungsspannung mindestens 1 V höher als die Flussspannung der LEDs ist.