In Reihe geschaltete Stränge paralleler LEDs
Kann man Lichterketten ohne Vorwiderstände betreiben?
Wir betrachten zunächst weiße LED-Ketten, die an 12 V betrieben werden und zeigen anschließend, welche Versorgungsspannungen außerdem möglich sind.
Wir betrachten hier in Reihe geschaltete Stränge parallel geschalteter LEDs.
- Es gibt außerdem parallele Ketten von in Reihe geschalteten LEDs.
Die Lichterkette in Bild 1 besteht aus vier Strängen mit parallel geschalteten LEDs:
- Ein Strang enthält in der Regel zehn oder mehr LEDs.
- Die Zahl der LEDs in einem Strang ist gleich.
- Die Stränge sind in Reihe geschaltet.
- Für 12 V werden vier Stränge in Reihe geschaltet.
Die Stränge sind im Prinzip LEDs, die ohne Vorwiderstand an der gleichen Spannungsquelle betrieben werden. In LEDs ohne Vorwiderstand wurde festgestellt, dass
- LEDs ohne Vorwiderstand an einer 3 V-Spannungsquelle betrieben werden können,
- wenn die 3 V-Spannungsquelle nur wenig von 3 V abweicht und/oder
- wenn LEDs mit geringer Toleranz der Flussspannung eingesetzt werden.
Die Stränge einer LED-Kette bestehen meist aus vielen, über zehn oder gar zwanzig LEDs.
- Der Strom in einem Strang liegt dann bei N*10 mA, wobei N die Zahl der LEDs ist.
- Bei einer Spannung zwischen 2,9 V und 3,1 V kann der Strom durch eine einzelne LED
- zwischen 1,4 mA und weit über 25 mA liegen;
- bei über 25 mA wird die LED überlastet.
- Werden viele LEDs parallel betrieben, ist es sehr wahrscheinlich, dass eine der LEDs eine geringe Flussspannung hat und überlastet wird.
Es gibt zwei Möglichkeiten, parallele LEDs zu betreiben.
- Entweder wird der Strang paralleler LEDs mit maximal 3 V betrieben.
- Alternativ kann der Strang an einer Konstantstromquelle betrieben werden.
Stränge paralleler LEDs in Reihe schalten
Jeder Strang braucht etwa 3 V.
Werden vier Stränge mit jeweils gleicher Zahl von LEDs in Reihe geschaltet,
- können sie an einer gemeinsamen Konstantstromquelle betrieben werden,
- die über 4*3 V=12 V liefern kann;
- oder an einer Betriebsspannung von 4*3 V=12 V betrieben werden.
- Die Betriebsspannung sollte nur wenig von 12 V abweichen.
Wir haben damit die gleiche Problematik wie bei parallelen LEDs an 3 V:
- Im Mittel können wir davon ausgehen, dass durch die LEDs 10 mA fließen.
- Es kann wenige LEDs geben, die mit über 25 mA überlastet werden und
- wenige LEDs, durch die nur ein geringer Strom fließt.
Beispiel

Beispiel eines Strangs weißer LEDs
Ein Strang ist sehr einfach aufgebaut.
- Er besteht aus SMD-LEDs in Kunstharz zwischen lackisolierten Drähten.
- Manchmal sind die einzelnen LEDs farbig.
- Das ist aber nur ein Farbüberzug über eine weiße LED.
Warum funktioniert das?
- In LEDs ohne Vorwiderstand wurde beschrieben, dass LEDs parallel an 3 V betrieben werden können, wenn deren Flussspannung selektiert wird.
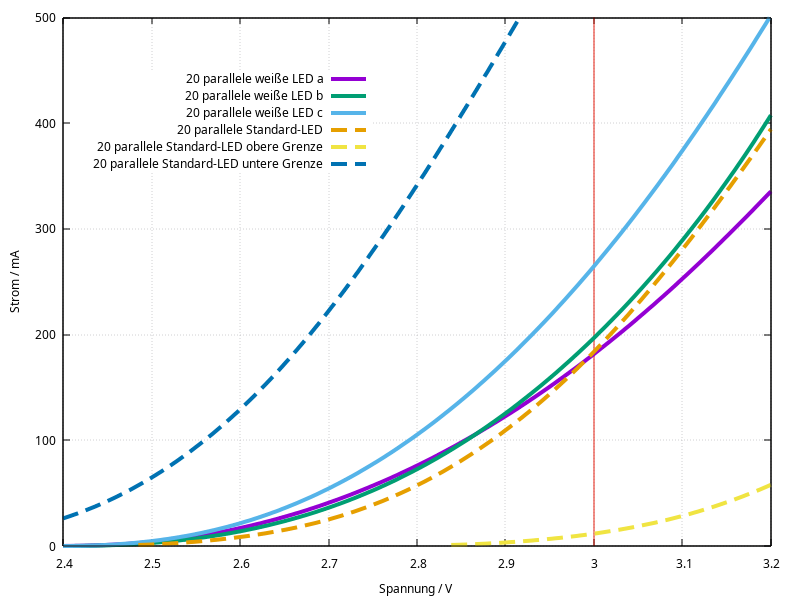
Bild 2 stellt die Kennlinien von drei Strängen mit 20 LEDs (a bis c) dar.
Im Vergleich dazu sind die Kennlinien einer typischen LED (orange gestrichelt), die für die minimale (blau gestrichelt) und maximale (gelb gestrichelt) Flussspannung eingetragen. Die Kennlinie einer einzelnen LED mit minimaler Flussspannung ist rot gepunktet dargestellt.
Die Kennlinien a bis c liegen nahe bei der typischen Kennlinie.
Sie zeigen zwar unterschiedliche Steigungen, aber keine Verschiebung der Kennlinien.
Die geringe Verschiebung zeigt, dass der Hersteller der LED-Kette SMD-LEDs mit nahe beieinander liegender Flussspannung verwendet hat.
Die unterschiedlichen Steigungen deuten darauf hin, dass der differenzielle Widerstand der LEDs bei der Selektion keine Rolle spielte.
Im Mittel fließen 10 mA durch die einzelnen LEDs im Strang.
- Im Strang c fließen bei 3 V maximal 270 mA, d. h. im Mittel 13,5 mA pro LED.
In den LEDs eines Strangs tritt dennoch eine relativ hohe Streuung des Stroms auf.
- Diese Differenzen nimmt das menschliche Auge kaum wahr.
Grenzen
LEDs werden mit zugesicherten minimalen und maximalen Flussspannungen ausgeliefert.
- Hier interessieren uns nur LEDs mit minimaler Flussspannung, da diese in einem Strang paralleler LEDs überlastet werden können.
- Die minimalen Flussspannungen treten selten auf:
- Weniger als eine von 40 LEDs hat eine minimale Flussspannung.
- Aber die LED mit der geringsten Flussspannung bestimmt in hohem Maße den Strom von parallel betriebenen LEDs.
- Werden LEDs gemeinsam betrieben, ist es sehr unwahrscheinlich, dass alle LEDs eine minimale Flussspannung aufweisen.
- Bei vier LEDs tritt dies bei weniger als einer von einer Million LEDs auf.
- Deshalb ist die Kennlinie für die untere Grenze von 20 parallelen LEDs irreführend.
Parallele LEDs an einer Konstantstromquelle
Wir betrachten zunächst zwei parallele LEDs und dann viele (20) parallele LEDs an einer Konstantstromquelle
Widerstandsgerade
- Wir arbeiten hier mit Kennlinien.
Für die Bestimmung des Stroms in einer Diode mit Vorwiderstand verwenden wir die Methode aus Arbeiten mit Kennlinien.
Wir gehen von der Kennlinie der LED aus. Das Feld muss bei 0 V beginnen und mindestens bis zur Versorgungsspannung Uv gehen. Bei 0 V tragen wir den Strom I=Uv/R für den Vorwiderstand R ein. Wir ziehen eine Linie von (0 V,I) bis zu (Uv,0). Der Strom durch die LED ist der Wert, bei dem die Linie die Kennlinie der LED schneidet.

Zoom-Bild für Uv=3,6 V R=62 Ω und I=58 mA.
Der interessante Bereich ist grau hinterlegt.
Zwei parallele LEDs an einer Konstantstromquelle
In Bild 3 sind die typische (violette), minimale (blaue) und maximale (grüne) Kennlinie einer LED dargestellt.
Wir betrachten die rote Linie für einen Konstantstrom von 20 mA.
Die Flussspannung liegt zwischen 2,84 V und 3,66 V und im Mittel bei 3,2 V.
Werden zwei LEDs parallel geschaltet, kann es im ungünstigsten Fall vorkommen, dass in der LED mit der geringeren Flussspannung fast 20 mA fließen, während die Flussspannung bei 2,83 V liegt. In einer typischen LED beträgt der Strom dann etwa 4,2 mA.
Die dünne rote Linie liegt bei 2,84 V und schneidet die violette Kennlinie einer typischen LED bei 4,2 mA.
Die obige Rechnung ist nur eine erste Betrachtung. Wenn in der typischen LED 4,2 mA fließen können, in der anderen LED nur 16 mA fließen. Wir müssen unsere Rechnung revidieren ... und werden bei 17 mA und 3 mA landen.
Obwohl die beiden LEDs mit Konstantstrom betrieben werden, fließt der größte Teil des Stroms durch die LED mit der geringsten Flussspannung.
- Unsere Aussage, dass es problematisch ist, LEDs parallel zu schalten, wird bestätigt.
- Die Flussspannung der gesamten Schaltung liegt nahe der geringsten Flussspannung.
Viele parallele LEDs an einer Konstantstromquelle
Betrachten wir nun viele parallele LEDs. In Bild 2 sind die Kennlinien von 20 parallelen LEDs dargestellt. Die rote gepunktete Kennlinie beschreibt eine einzelne LED.
Bei einem Konstantstrom von 200 mA, d. h. 10 mA pro LED, stellt sich z. B. bei den LEDs c eine Spannung von etwa 3 V ein.
Bei 3 V fließen in der einen LED mit geringer Flussspannung 30 mA.
- Sie wird überlastet.
- Werden Stränge paralleler LEDs in Reihe mit Konstantstrom betrieben, können dennoch einzelne LEDs überlastet werden.
Fazit
Stränge paralleler LEDs können in Reihe geschaltet werden und mit einer konstanten Spannung betrieben werden.
- Die LEDs in einem Strang müssen selektiert sein, d. h. ihre Flussspannung muss nahe beieinander liegen.
- Jeder Strang sollte die gleiche Anzahl von LEDs enthalten.
- Ein Strang sollte am besten mit einer Spannung von 3 V betrieben werden, d. h.:
- die Versorgungsspannung beträgt Uv = N * 3 V. N ist die Anzahl der Stränge in Reihe.
- LEDs mit einer zu geringen Flussspannung werden überlastet und
- werden relativ schnell beschädigt oder fallen aus.
- Wenn die Betriebsspannung höher als Uv = N * 3 V ist,
- können LEDs beschädigt werden oder ausfallen
- und das hat in der Regel zur Folge, dass weitere LEDs ausfallen.
- Wenn die Betriebsspannung niedriger als Uv = N * 3 V ist, werden die LEDs nicht optimal (dunkler) leuchten.
- Die Betriebsspannung sollte möglichst genau eingehalten werden.
Stränge paralleler LEDs können in Reihe geschaltet und mit einer Konstantstromquelle betrieben werden.
- Dann kann es jedoch zu einer Überlastung einzelner LEDs kommen.
- Werden die LEDs hingegen nach Flussspannung selektiert, kann eine Überlastung einzelner LEDs vermieden werden.