IRF7210

Der IRF7210 ist empfindlich gegen elektrostatische Entladung.
Bitte Vorsicht elektrostatische Entladung beachten.
Der IRF7210 ist ein P-Kanal-MOSFET.
Udsmax | Ugsmax | Idmax | Pmax | Rdson | Ugson | Ugsth |
-12 V | ±12 V | -12 A | 1,6 W | 0,010 Ω | -0,6 V | < -0,6 V |
Udsmax | maximal zulässige Drain-Source-Spannung |
Ugsmax | maximal zulässige Gate-Source-Spannung |
Idmax | maximal zulässiger Drain-Strom |
Pmax | maximal zulässige Leistung |
Rdson | Einschaltwiderstand bei Ugson |
Ugson | Gate-Source-Spannung für Rdson |
Ugsth | Gate-Source-Spannung, bei der der MOSFET leitend wird (< wegen -) |
Diese Grenzwerte dürfen nicht überschritten werden. | Siehe: Betriebsdaten und Grenzdaten |
- Der IRF7210 kann als Schalter und Verpolungsschutz verwendet werden.
- Der IRF7210 kann von Logiksystemen ≥ 3 V angesteuert werden.
- Die Gate-Source-Spannung darf maximal ±12 V betragen.
- Das Gate des IRF7210 ist nicht gegen höhere Spannungen geschützt.
Symbol

S - Source, D - Drain, G - Gate
Wirkung
Eine negative Spannung Ugs von -2,5 V zwischen Gate und Source schaltet den MOSFET ein. Der Widerstand zwischen Drain und Source ist dann praktisch 0 (etwa 10 mΩ). Der Strom sollte bei Ugs = -2,5 V nicht mehr als -10 A betragen.
Gehäuse

THT und SMD
Montage von Bauelementen auf Leiterplatten
THT (Through Hole Technology) Durchsteckmontage
- Die Anschlüsse von THT-Bauelementen werden durch Löcher in der Platine gesteckt und von unten verlötet.
- THT-Bauelemente werden auf der Oberseite der Platine montiert.
- Bedrahtete Bauelemente wie Widerstände und Kondensatoren werden in THT montiert. Dazu müssen die Anschlussdrähte entsprechend gebogen werden.
SMD (Surface Mounted Device) Oberflächenmontage
- SMD-Bauelemente benötigen keine Bohrungen, sondern werden direkt auf Kupferpads gelötet.
- SMD-Bauelemente können auf beiden Seiten einer Platine montiert werden.

1 - Source
2 - Source
3 - Source
4 - Gate
5 - Drain
6 - Drain
7 - Drain
8 - Drain
Montage auf Lochrasterplatinen
Das achtpolige SMD-Bauelement des IRF7210 kann auf Lochrasterplatinen montiert werden: SO-Gehäuse.
Thermische Eigenschaften
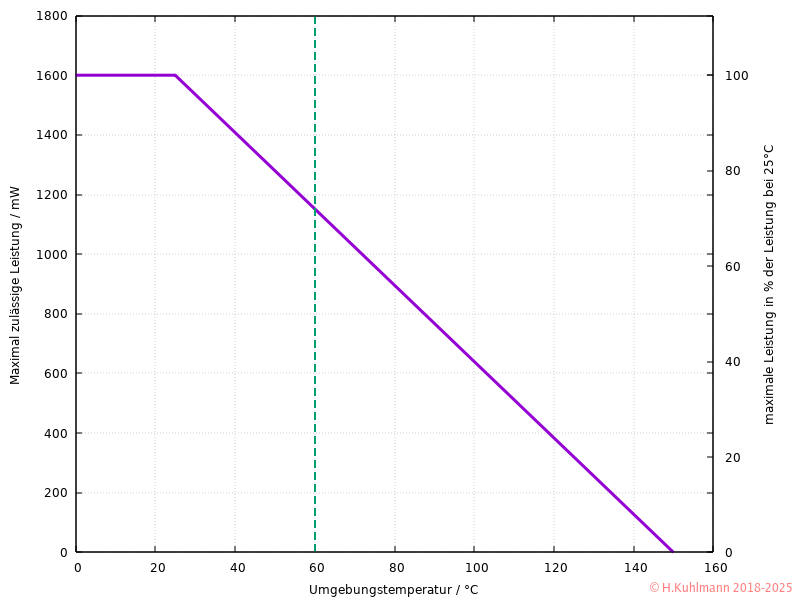
- Die maximal zulässige Sperrschicht-Temperatur des IRF7210 beträgt 150 °C.
- Die maximal zulässige Leistung bei einer Umgebungstemperatur von 25°C ist Pmax=1600 mW.
- Über 25°C Umgebungstemperatur verringert sich die maximal zulässige Leistung um 20 mW/°C.

Das obige Diagramm setzt voraus, dass der IRF7210 auf einer Leiterplatte eingelötet ist.
Die maximal zulässige Verlustleistung kann einfach aus dem Diagramm entnommen werden.
- Wird der IRF7210 mit Leistungen über 75 mW betrieben, ist die Kühlung von SMD-Bauelementen über die Leiterplatte zu beachten.
Regeln
- Der IRF7210 ist empfindlich gegen elektrostatische Entladung.
- Bitte Vorsicht elektrostatische Entladung beachten.
- Die Source des IRF7210 wird an Plus angeschlossen.
- Der IRF7210 wird durch eine negative Spannung zwischen Source und Gate eingeschaltet.
- Die geschaltete Last liegt zwischen Drain und Minus bzw. Masse.
- Der IRF7210 schaltet Ströme bis zu 10 A gut, wenn er mit Ugs=-2,5 V angesteuert wird.
- Der IRF7210 darf mit einer maximalen Gate-Source-Spannung von ±12 V betrieben werden.
- Er kann gut mit Spannungen zwischen 3 V und 12 V betrieben werden.
- Das Gate sollte nie offen sein. Ein Widerstand von 1 MΩ ist ausreichend.
- Das Gate kann direkt mit dem Ausgang eines CMOS-ICs verbunden werden.
- Der IRF7210 verträgt keine hohen Leistungen,
- maximal 1,1 W bei 60 °C Umgebungstemperatur.
Weitere Daten und Kennlinien
- Kennlinien werden im Praktikum Kennlinien beschrieben.
Sicherer Arbeitsbereich (SOA)

Der IRF7210 kann analog mit Gleichstrom betrieben werden: DC SOA.
- Der DC SOA wird nicht vom Hersteller angegeben.
Id | bei Uds unter |
-12 A | -0,2 V |
-0,2 A | -12 V |
- Die Grenzlinien dürfen nur einmalig oder sehr selten überschritten werden. Der IRF7210 darf dauerhaft nur unterhalb des DC-Bereichs betrieben werden.
- Die Daten gelten bei einer Chiptemperatur von 25 °C. Bei höheren Temperaturen muss der Drainstrom Id reduziert werden. Siehe Sicherer Arbeitsbereich (SOA) - Details.
- Der SOA für DC kann entsprechend den %-Angaben rechts im Diagramm für die maximal zulässige Verlustleistung reduziert werden.