../icons/Logo.pngPraktische Elektronik


Glühlampen sind temperaturabhängige Widerstände


list.png

Glühlampen

Symbol

Gluehlampe_Symbol.png
Bild 1: Symbol einer Glühlampe

Beispiele für Glühlampen

Bauform Umax P R0
Halogen 12 V 50 W 0,68 Ω
Signallampe 3 V 0,4 W 2,5 Ω
Umax maximal zulässige Betriebsspannung
P Leistung bei Umax
R0 Widerstand bei 0 V
Diese Grenzwerte dürfen nicht überschritten werden. Siehe: Betriebsdaten und Grenzdaten

Wirkung

In Bezug auf Strom und Spannung verhält sich eine Glühlampe wie ein ohmscher Widerstand.

  • Dies gilt jedoch nur, wenn sie mit sehr geringer Leistung (ca. 1 mW) betrieben wird.
  • Bei höheren Spannungen erwärmt sich die Glühlampe aufgrund der an ihr abfallenden Leistung und beginnt zu leuchten.

Glühlampen ändern ihren Wert in Abhängigkeit von der Temperatur.

Mit steigender Temperatur nimmt der Widerstandswert zu. Sie verhalten sich somit wie ein PTC-Widerstand.

Glühlampen haben im kalten Zustand den geringsten Widerstand.

Dieser Widerstand kann an einer kalten Glühlampe mit einer geringen Spannung um 0 V gemessen werden. Er ist in der obigen Tabelle als R0 eingetragen.

Kennlinien

Kennlinie_Halogenlampe.png
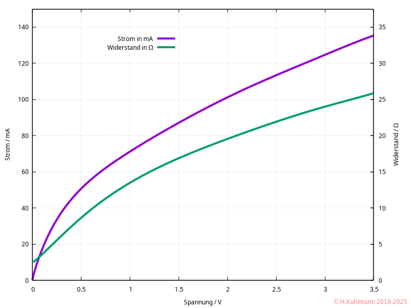
Bild 2: Halogenlampe mit 50 W für 12 V

Wie bei einem Kaltleiter oder PTC-Widerstand steigt der Widerstand der Glühlampe mit zunehmender Temperatur. Die höhere Temperatur wird durch die an der Glühlampe abfallende Leistung erzeugt. In Bild 2 ist deshalb der Widerstand der Glühlampe bei bestimmten Spannungen dargestellt.

  • Interessant ist, dass der Widerstand bei geringen Spannungen – im kalten Zustand – nur ein Fünftel des Widerstands bei normaler Betriebsspannung – im heißen Zustand – beträgt.
  • Das heißt, beim Einschalten auf die volle Betriebsspannung fließt kurzzeitig der fünffache Strom.

Der Strom ist, anders als bei einem ohmschen Widerstand, keine Gerade, sondern bei hohen Spannungen geringer, was auf das PTC-Verhalten zurückzuführen ist.

Kennlinie_Lampe_3V_125mA.png
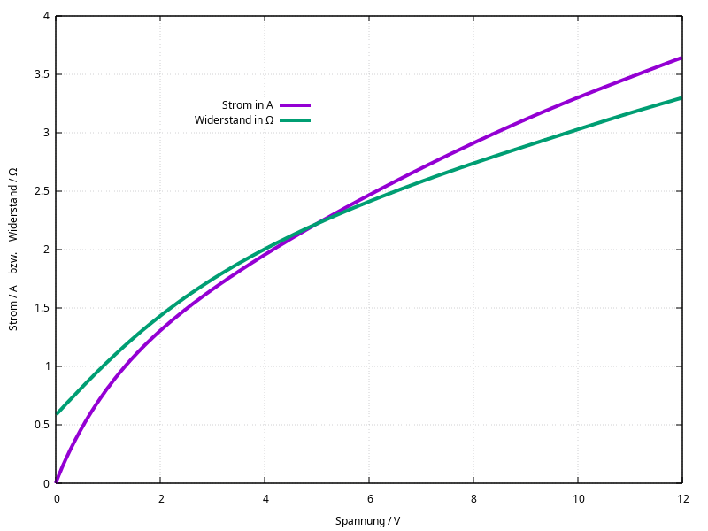
Bild 3: Kennlinie einer Signallampe für 3 V bei 125 mA