Dioden
Dioden sperren in einer Richtung.
Symbol

Typ | Bezeichnung | Uf | Imax | ImaxK | Umax | Ir @ Ur | Gehäuse | TJmax |
Silizium | 1N4148 | 1 V | 150 mA | 100 V | 50 nA @ 20 V | DO-35 | 175 °C | |
Silizium | 1N4148WS | 1 V | 150 mA | 100 V | 50 nA @ 20 V | SOD-323 | 150 °C | |
Silizium | 1N4001 | 1 V | 1 A | 50 V | 5 µA @ 50 V | DO-41 | 150 °C | |
Silizium | 1N4004 | 1 V | 1 A | 400 V | 5 µA @ 400 V | DO-41 | 150 °C | |
Silizium | 1N4007 | 1 V | 1 A | 1000 V | 5 µA @ 1000 V | DO-41 | 150 °C | |
Silizium | 1N5404 | 1,2 V | 3 A | 400 V | 10 µA @ 400 V | DO-201AD | 175 °C | |
Schottky | BAT42 | 0,8 V | 200 mA | 100 V | 0,5 µA @ 50 V | DO-35 | 125 °C | |
Schottky | BAT54 | 320 mV @1 mA | 200 mA | 30 V | 0,1 µA @ 20 V | SOT-23-3 | 125 °C | |
Schottky | 1N5817 | 0,45 V | 1 A | 20 V | 50 µA @ 5 V | DO-41 | 125 °C | |
Schottky | PMEG4010BEA | 0,4 V | 1 A | 40 V | 7 µA @ 10 V | SOD-323 | 150 °C | |
Schottky | MBR1045 | 0,5 V | 5 A | 10 A | 45 V | 20 µA @ 20 V | TO-220 | 175 °C |
Schottky | SBX2040-3G | < 0,45 V | 5 A | 20 A | 40 V | <100 µA @ 40 V | DO-201 | 150 °C |
LED | rot, 3 mm | 1,8 V | 20 mA | 5 V | 10 µA @ 5 V | LED 3 mm | 85 °C | |
Z-Diode | ZF 5,6 | 0,6 V | 200 mA | 5,6 V | 10 µA @ 4 V | DO-35 | 200 °C |
Die BAT54 gibt es im SOT-23-3 Gehäuse als
Bezeichnung | Typ | 1 | 2 | 3 |
BAT54 | Einzeldiode | A | K | |
BAT54 A | Doppeldiode | K | K | AA |
BAT54 C | Doppeldiode | A | A | KK |
BAT54 S | Doppeldiode | A | K | KA |
Die Zahlen bezeichnen die Pins des SOT-23-3 Gehäuses. Am Pin 3 können die gemeinsame Anode (AA), die gemeinsame Kathode (KK) oder eine Kathode und eine Anode einer Doppeldiode liegen.
Silizium | Siliziumdiode |
Schottky | Schottkydiode |
LED | Leuchtdiode |
Z-Diode | Zenerdiode |
Uf | Flussspannung bei Imax |
Imax | maximal zulässiger Strom ohne Kühlkörper |
ImaxK | maximal zulässiger Strom bei optimal gekühlter Montage |
Umax | maximale zulässige Spannung |
Ir @ Ur | Sperrstrom bei Sperrspannung |
TJmax | maximale zulässige Temperatur im Chip |
Diese Grenzwerte dürfen nicht überschritten werden. | Siehe: Betriebsdaten und Grenzdaten |
- Dioden für höhere Ströme über 1 A werden Gleichrichterdioden genannt.
- Ströme über 1 A sind nur bei optimaler Kühlung zulässig.
- Die Schottkydiode PMEG4010BEA hat bei kleinen Strömen eine besonders geringe Flussspannung.
Wirkung
Der Strom fließt nur in Pfeilrichtung von Plus nach Minus. Er fließt nur von der Anode zur Kathode.
Kennlinien

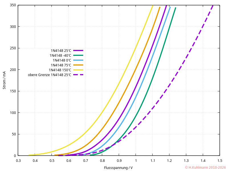
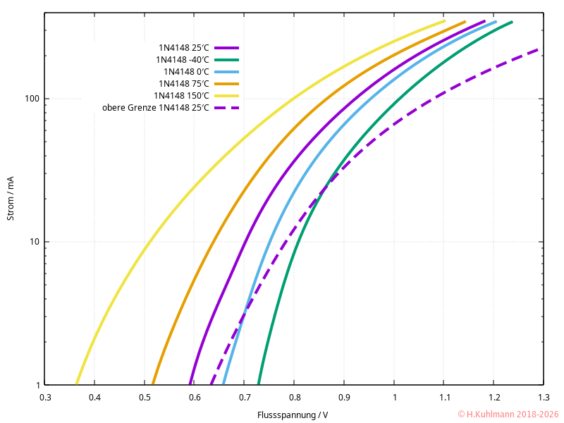
Bild 2 zeigt die Kennlinien von Dioden in Durchlassrichtung. Diese Spannung wird Flussspannung genannt.
Kennlinien sind im Praktikum Kennlinien beschrieben.
1N4148

Die magentafarbene Kennlinie entspricht der typischen Kennlinie einer 1N4148. Aufgrund von Exemplarstreuungen kann die Kennlinie jedoch auch der grünen entsprechen. Wenn die 1N4148 heiß ist (175 °C), gilt die Kennlinie (1).

Der Strom ist in Bild 4 nicht gleichförmig (linear), sondern gespreizt (logarithmisch) dargestellt. Dadurch kann ein großer Strombereich dargestellt werden.
Sperrstrom
Wenn eine Diode in Sperrrichtung betrieben wird, fließt ein kleiner Strom, der Sperrstrom.
- Kleine Siliziumdioden wie die 1N4148 haben einen Sperrstrom von weniger als 0,1 µA.
- Gleichrichterdioden wie die 1N4007 haben einen Sperrstrom von etwa 10 µA.
- Schottkydioden haben einen höheren Sperrstrom als Siliziumdioden.
- Der Sperrstrom steigt mit zunehmender Temperatur.
- Der typische Sperrstrom wird für 25 °C angegeben.
- Als Faustregel gilt, dass sich der Sperrstrom je 25 °C verdoppelt.
Gehäuse

Der weiße/schwarze Ring ist die Kathode.

Das DO-201AD-Gehäuse (Kunststoff) mit 9 mm Länge
Der weiße Ring ist die Kathode.

Das TO-220-Gehäuse besteht aus Kunststoff und hat eine Kühlfahne. Die Anschlussbelegung ist nicht einheitlich. Meist ist der mittlere Anschluss (b) mit der Kühlfahne (d) verbunden. Die Anschlüsse haben einen Abstand von 2,54 mm.
Bei der MBR1045 und BYT79-500 fehlt der Anschluss b. Die Anode liegt am Anschluss c. Die Kathode befindet sich am Anschluss a und an der Kühlfahne d.


Die Kathode ist weiß gekennzeichnet.
Thermische Eigenschaften
Der maximal zulässige Strom durch eine Diode ist abhängig von der Umgebungstemperatur und von der Art der Montage der Diode ab. Außerdem hängt der zulässige Strom von der maximalen zulässigen Temperatur ab.

Die Skala für den maximal zulässigen Strom (in mA) der Dioden 1N4148, BAT42 und BAT54 befindet sich auf der rechten Seite.
Für Gleichrichter mit zulässigen Strömen bis zu 5 A gilt die linke Skala. Alle Gleichrichter sind freistehend montiert und werden nicht zusätzlich gekühlt.
- Für die Schottky-Gleichrichter MBR1045 und SBX2040-3G gibt es zwei Kurven.
- Die eine (DC) gilt für Gleichstrom und die andere für impulsförmigen Strom. Der Strom für die Impulse ist der mittlere Strom.
- Die 60 °C-Linie ist eine gute Wahl für die Temperaturen, die bei der üblichen Montage auftreten.
- Der maximale Strom der Dioden muss für die Umgebungstemperatur von 60 °C angepasst werden:
Diode | maximaler Strom bei 60 °C |
1N4148 | 120 mA |
1N4001 - 1N4007 | 1 A |
BAT42 und BAT54 | 260 mA |
1N5404 | 3 A |
1N5817 | 1 A |
MBR1045 | 3,8 A bzw. 1,95 A für Impulsbetrieb |
SBX2040-3G | 5 A bzw. 4,5 A für Impulsbetrieb |
Regeln
- Eine Diode lässt den Strom nur in Pfeilrichtung fließen.
- Eine Ausnahme bilden die Z-Dioden. Sie lassen ab einer bestimmten Sperrspannung Strom fließen.
- Die Anode muss nach Plus zeigen, wenn Strom fließen soll.
- Der Farbring zeigt nach Minus, wenn die Diode leiten soll.
- Die 1N4148 wird gerne verwendet, weil sie so klein ist. Sie wird immer dann eingesetzt, wenn es um kleine Ströme von wenigen mA geht.
- Die 1N4148WS ist eine 1N4148 in einem SMD-Gehäuse.
- Eine Schottkydiode wird verwendet, wenn hohe Ströme fließen und die Verluste gering sein sollen.
- Eine Schottkydiode wird verwendet, wenn Eingänge gegen negative Spannungen geschützt werden müssen.
- Geeignet ist z. B. die BAT42.
- Eine Diode erzeugt Verluste, wenn ein Strom fließt. An ihr fällt eine Spannung ab, die Flussspannung.
- Bei relativ kleinen Strömen unter Imax / 10 beträgt die Flussspannung einer Siliziumdiode etwa 0,6 V.
- Bei relativ kleinen Strömen unter Imax / 10 beträgt die Flussspannung einer Schottkydiode etwa 0,3 V.
- Schottkydioden sind teurer als Siliziumdioden.
- In Sperrrichtung fließt ein geringer Sperrstrom.
- Der Sperrstrom einer Schottkydiode ist größer als der einer Siliziumdiode.
- Bei höheren Umgebungstemperaturen muss der maximale Strom durch eine Diode reduziert werden.
- Die 1N4004 ist das Arbeitspferd der Elektroniker.
- Sie kann mit bis zu 1 A belastet werden.
- Die 1N5404 ist für Ströme bis 3 A geeignet.
- Ab 1 A müssen die Anschlussdrähte gekühlt werden.
Die Drähte werden so kurz wie möglich in eine Leiterplatte mit Kupferfläche eingebaut.
- Gleichrichter in TO-220-Gehäusen müssen für höhere Ströme gekühlt werden.